0%

算法系列:树

树是数据结构中很重要的一种结构,在现实生活中常用于表达层次关系和非单一的映射关系,如一个老板下对应有多个员工。通过一段时间的算法练习,本文将树常见的算法收录整理,包括:

  • 求二叉树叶子节点的数量
  • 求节点权重和
  • 求距离根节点最近、最远的叶节点
  • 求每一层节点的数量
  • 遍历二叉树,求给定权值的路径
  • 二叉查找树

而对于红黑树、2-3-4树等较为复杂的树结构,本文暂时不收录,仅收录较为简单容易理解的,本文适用于:编程不太好、但了解基本数据结构的人,你仅仅需要知道深度优先遍历、广度优先遍历、二叉树的根节点、普通节点、叶子节点的区别即可。

一类通常题目:求树的叶子数量,求每一层的节点数量,求树的最大高度,求叶子权重的和,都可以归类为对二叉树的遍历,所以本文更多的是树的遍历算法(深度优先或广度优先)的应用。其次,先序、中序、后序遍历树,对遍历顺序有严格的要求,一般不用此类方法遍历树去求解上述问题,一般都是解决先序中序转后序此类需求,在后续会写出此类问题的求解算法。

警告:尽管文本做了详细的代码注释和讲解,但如果你只是准备靠本文的讲解企图理解代码,恐怕不太行,还需要自己多加练习和多思考。

构建

654. 最大二叉树

给定一个不重复的整数数组 nums。 最大二叉树可以用下面的算法从 nums 递归地构建:

  • 创建一个根节点,其值为 nums 中的最大值。
  • 递归地在最大值 左边 的 子数组前缀上 构建左子树。
  • 递归地在最大值 右边 的 子数组后缀上 构建右子树。
  • 返回 nums 构建的 最大二叉树 。

示例 1:

1
2
3
4
5
6
7
8
9
10
11
12
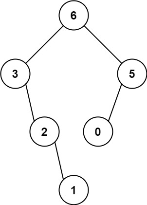
输入:nums = [3,2,1,6,0,5]
输出:[6,3,5,null,2,0,null,null,1]
解释:递归调用如下所示:
- [3,2,1,6,0,5] 中的最大值是 6 ,左边部分是 [3,2,1] ,右边部分是 [0,5] 。
- [3,2,1] 中的最大值是 3 ,左边部分是 [] ,右边部分是 [2,1] 。
- 空数组,无子节点。
- [2,1] 中的最大值是 2 ,左边部分是 [] ,右边部分是 [1] 。
- 空数组,无子节点。
- 只有一个元素,所以子节点是一个值为 1 的节点。
- [0,5] 中的最大值是 5 ,左边部分是 [0] ,右边部分是 [] 。
- 只有一个元素,所以子节点是一个值为 0 的节点。
- 空数组,无子节点。

树的算法主要依赖于递归,假设有这么一个递归函数,返回的是所需要的节点,牢牢记住这一点。如果实在理解不了递归,那么只需要理解在调用这个函数的时候,知道它返回的是所需的节点即可。

递归函数就是自己调用自己,因此需要确定好参数的类型和数量,因此下次还会用到这个函数。我们看一下这个题,根据数组创建树,如果找到了最大值,最大值左侧就是左子树,右侧就是右子树。而左右子树就需要索引来区分,不能越界,也就是说,不能把其他的节点放到当前子树中。因此,我们假定递归需要三个参数,数组 nums,子树的起点索引 l 和终点索引 r

  1. 第一次调用递归函数,传入的参数是 nums, 0, nums.size()。然后找到数组中的最大值,创建节点。假设最大值的索引是 idx
  2. 递归调用函数,创建节点的左子树,那么创建左子树的递归就是 nums, 0, idx
  3. 递归调用函数,创建节点的右子树,那么创建左子树的递归就是 nums, idx+1, nums.size()
1
2
3
4
5
6
7
8
9
10
11
12
13
14
15
16
17
18
19
20
21
22
23
24
25
26
27
28
29
30
class Solution {
public:
TreeNode* constructMaximumBinaryTree(vector<int>& nums) {
return build(nums, 0, nums.size());
}
// build 就是返回需要的节点
TreeNode* build(vector<int>& nums, int l, int r) {
// 树的越界一定在函数最开始检查
if (l >= r) {
return nullptr;
}
int maxv = -1;
int idx;
// 找最大值和对应的索引
for (int i = l; i < r; i++) {
if (nums[i] > maxv) {
maxv = nums[i];
idx = i;
}
}
// 当前节点
TreeNode* node = new TreeNode(maxv);
// 当前节点的左子树
node->left = build(nums, l, idx);
// 当前节点的右子树
node->right = build(nums, idx + 1, r);
// 返回创建的,最大值根节点
return node;
}
};

遍历

剑指 Offer 68 - I. 二叉搜索树的最近公共祖先

给定一个二叉搜索树, 找到该树中两个指定节点的最近公共祖先。百度百科中最近公共祖先的定义为:对于有根树 T 的两个结点 pq,最近公共祖先表示为一个结点 x,满足 xpq 的祖先且 x 的深度尽可能大(一个节点也可以是它自己的祖先)。

例如,给定如下二叉搜索树: root = [6,2,8,0,4,7,9,null,null,3,5]

这个算后续遍历了,因为要找两个节点的公共祖先,起码要先知道子节点在哪里,知道了子节点才能找到父节点。

  • 后序遍历时,如果遇到了要找的子节点,那么计数
  • 当计数满足条件时,当前节点就是深度最大的公共祖先
1
2
3
4
5
6
7
8
9
10
11
12
13
14
15
16
17
18
19
20
21
22
23
24
25
26
27
28
29
30
31
32
33
34
35
class Solution {
public:
TreeNode* res = nullptr;
TreeNode* lowestCommonAncestor(TreeNode* root, TreeNode* p, TreeNode* q) {
postorder(root, p, q);
return res;
}

int postorder(TreeNode* root, TreeNode* p, TreeNode* q) {
if (root == nullptr)
return 0;
int a = 0;
// 子树返回的值
int r1 = postorder(root->left, p, q);
int r2 = postorder(root->right, p, q);
a += (r1 + r2);
// 当前节点是否满足,因为一个节点可以是自己的祖先
if (root == p) {
a += 1;
}
if (root == q) {
a += 2;
}
// 如果满足条件,那么找到的节点就是深度最大的公共祖先
if (a == 3 && res == nullptr) {
res = root;
}
// 返回当前子树的状态
// 1 表示找到了 p
// 0 表示没找到 q 和 p
// 2 表示找到了 q
// 3 表示都找到了
return a;
}
};

652. 寻找重复的子树

给定一棵二叉树 root,返回所有重复的子树。对于同一类的重复子树,你只需要返回其中任意一棵的根结点即可。如果两棵树具有相同的结构和相同的结点值,则它们是重复的。

  • 我们可以用深度优先遍历,去遍历一个节点及其子树,将数值拼接起来得到一个字符串。如果存在相同的字符串,就说明存在相同的子树
  • 根据题意,我们知道需要检查每一个节点对应的子树的结果
  • 也就是说,检查每一个节点需要遍历,而生成节点对应的结果又需要一次遍历,总共需要两次遍历。第一次遍历是为了遍历节点,第二次遍历是为了得到字符串。这两次遍历的任务不同,我们要写两个遍历函数
  • 那么在第一次遍历二叉树的时候,加入第二次遍历去得到字符串即可
1
2
3
4
5
6
7
8
9
10
11
12
13
14
15
16
17
18
19
20
21
22
23
24
25
26
27
28
29
30
31
32
33
34
35
36
class Solution {
public:
vector<TreeNode*> res;
unordered_map<string, int> m;
vector<TreeNode*> findDuplicateSubtrees(TreeNode* root) {
build(root);
return res;
}

// 第一次遍历
void build(TreeNode* root) {
if (root == nullptr) {
return;
}
string s = "";
// 得到当前节点的结果,第二次遍历
dfs(root, s);
m[s] += 1;
if (m[s] == 2) {
res.push_back(root);
}
build(root->left);
build(root->right);
}

void dfs(TreeNode* root, string& s) {
if (root == nullptr) {
s += "+";
return;
}
s += "=";
s += to_string(root->val);
dfs(root->left, s);
dfs(root->right, s);
}
};

递归

116. 填充每个节点的下一个右侧节点指针

给定一个 完美二叉树 ,其所有叶子节点都在同一层,每个父节点都有两个子节点。二叉树定义如下:填充它的每个 next 指针,让这个指针指向其下一个右侧节点。如果找不到下一个右侧节点,则将 next 指针设置为 NULL。初始状态下,所有 next 指针都被设置为 NULL

根据前文我们知道,递归是自己调用自己,且需要明确参数的数量和内容,这样才能方便的调用。如果理解不了递归的细节,就知道要让递归实现什么,直接调用即可,不要陷入递归的细节。

在这个题中,我们发现需要造作两个指针 ab,这两个指针是根节点的孩子,而且需要让 a 指向 b,子树也是如此。也就是说,递归有两个参数。因此,只需要传入两个参数,递归的处理左右子树即可,在递归函数中,完成 a 指向 b 的功能即可。

1
2
3
4
5
6
7
8
9
10
11
12
13
14
15
16
17
18
19
20
21
22
23
24
25
class Solution {
public:
Node* connect(Node* root) {
if (root == nullptr) {
return nullptr;
}
// 由于是完美二叉树,因此根节点必然有两个孩子
build(root->left, root->right);
return root;
}

void build(Node* left, Node* right) {
if (left == nullptr || right == nullptr) {
return;
}
// 修改指针方向
left->next = right;
// 处理左子树
build(left->left, left->right);
// 处理右子树
build(right->left, right->right);
// 左子树的右节点,需要指向右子树的左节点,参考图片的最后一行叶子节点中间部分
build(left->right, right->left);
}
};

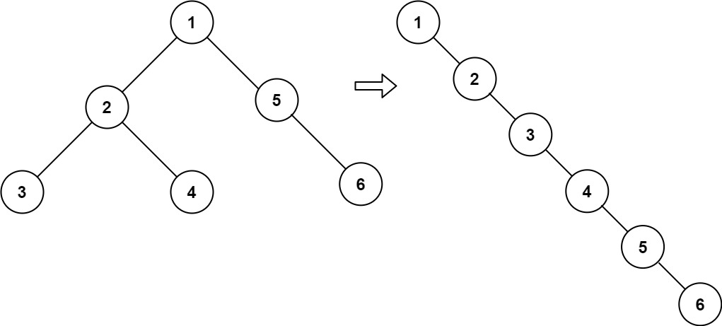
114. 二叉树展开为链表

给你二叉树的根结点 root ,请你将它展开为一个单链表:展开后的单链表应该同样使用 TreeNode ,其中 right 子指针指向链表中下一个结点,而左子指针始终为 null 。展开后的单链表应该与二叉树 先序遍历 顺序相同。

同样,我们只需要定义递归函数,并实现其功能即可。根据题意,这个递归函数的作用就是展平子树,实现这个函数后,递归的实现左右子树的展平,不必陷入递归的细节。而且,是先要展平子树,在展平当前节点,因为只有保证子树是展平的,才能保障当前节点可以展平。

  • 如上图所示,先展平左右子树,直接 flatten(left)flatten(right) 即可
  • 在展平之后,根节点的右指针指向左子树,然后移动到左子树的末尾,在指向右子树即可
1
2
3
4
5
6
7
8
9
10
11
12
13
14
15
16
17
18
19
20
21
22
23
24
25
class Solution {
public:
void flatten(TreeNode* root) {
if (root == nullptr) {
return;
}
// 展平子树
flatten(root->left);
flatten(root->right);
// 根节点对应的左右子树
TreeNode* l = root->left;
TreeNode* r = root->right;
// 右指针指向左子树
root->right = l;
// 左子树为空
root->left = nullptr;
// 移动到左子树的末尾
TreeNode* p = root;
while (p->right != nullptr) {
p = p->right;
}
// 左子树指向右子树
p->right = r;
}
};

前缀树

208. 实现 Trie (前缀树)

Trie(发音类似 “try”)或者说 前缀树 是一种树形数据结构,用于高效地存储和检索字符串数据集中的键。这一数据结构有相当多的应用情景,例如自动补完和拼写检查。请你实现 Trie 类:

  • Trie() 初始化前缀树对象。
  • void insert(String word) 向前缀树中插入字符串 word
  • boolean search(String word) 如果字符串 word 在前缀树中,返回 true(即,在检索之前已经插入);否则,返回 false
  • boolean startsWith(String prefix) 如果之前已经插入的字符串 word 的前缀之一为 prefix ,返回 true;否则,返回 false

我想不到什么好的语言来描述前缀树。简单说一下就是,假设用树来查单词,单词字母都是小写。那么树的每个节点都有 26 个孩子,初始化为空。

比如对于 cat 这个单词,根节点有 26 个孩子,c 节点不为空,c 节点有 26 个孩子,a 不为空,a 节点有 26 个孩子,t 不为空,且 t 节点设置一个结束符,表示 cat 这个单词到 t 这里就结束了。

因此我们能在这个树中查到 cat 这个单词。浪费空间?不是的,转念一想,为 cat 这个单词建的树,是不是能容纳所有的长度为 3 的单词?and,but,how 等单词都能存进来,且能实现 $O(1)$ 时间的查找。

说了这么多,看一下这个树如何实现:

1
2
3
4
5
6
7
8
9
10
11
12
13
14
15
16
17
18
19
20
21
22
23
24
25
26
27
28
29
30
31
32
33
34
35
36
37
38
39
40
41
42
43
44
45
46
47
48
49
50
51
52
53
54
class Trie {
public:
vector<Trie*> child;
bool end;
// 26 个孩子和结束符
Trie() {
child.resize(26);
end = false;
}

void insert(string word) {
Trie* node = this;
for (auto ch : word) {
int a = ch - 'a';
// 所有的孩子节点中,这个字母对应的节点不为空
if (node->child[a] == nullptr) {
node->child[a] = new Trie();
}
// 构建孩子节点的子节点
node = node->child[a];
}
// 结束符,表示这个单词到此结束
node->end = true;
}
// 搜索同理
bool search(string word) {
Trie* node = this;
for (auto ch : word) {
int a = ch - 'a';
if (node->child[a] == nullptr) {
return false;
}
node = node->child[a];
}
// 如果搜索的不是结束符,返回 false
// 如 apple 在词表中,但 app 不在
// 不能返回 true
if (node->end == false)
return false;
return true;
}

bool startsWith(string prefix) {
Trie* node = this;
for (auto ch : prefix) {
int a = ch - 'a';
if (node->child[a] == nullptr) {
return false;
}
node = node->child[a];
}
return true;
}
};

211. 添加与搜索单词 - 数据结构设计

请你设计一个数据结构,支持 添加新单词 和 查找字符串是否与任何先前添加的字符串匹配 。

实现词典类 WordDictionary

  • WordDictionary() 初始化词典对象
  • void addWord(word)word 添加到数据结构中,之后可以对它进行匹配
  • bool search(word) 如果数据结构中存在字符串与 word 匹配,则返回 true ;否则,返回 falseword 中可能包含一些 ‘.’ ,每个 . 都可以表示任何一个字母。

由于 . 可以代表任何一个字符,因此需要对 . 进行处理,使其可以表示任何一个字母。不过这就需要递归处理来使得程序优美一些:

1
2
3
4
5
6
7
8
9
// 代表 26 个字母
for (int i = 0; i < 26; i++) {
// 只要不为空,就依次检查
if (node->child[i] != nullptr) {
if (subsearch(word, idx + 1, node->child[i]) == true) {
return true;
}
}
}
1
2
3
4
5
6
7
8
9
10
11
12
13
14
15
16
17
18
19
20
21
22
23
24
25
26
27
28
29
30
31
32
33
34
35
36
37
38
39
40
41
42
43
44
45
46
47
48
49
50
51
52
53
54
55
class WordDictionary {
public:
vector<WordDictionary*> child;
bool end = false;
WordDictionary() {
child.resize(26);
}

void addWord(string word) {
WordDictionary* node = this;
for (auto ch : word) {
int a = ch - 'a';
if (node->child[a] == nullptr) {
node->child[a] = new WordDictionary();
}
node = node->child[a];
}
node->end = true;
}

bool subsearch(string word, int idx, WordDictionary* node) {
if (idx >= word.size()) {
return node->end;
}
auto ch = word[idx];
if (ch == '.') {
for (int i = 0; i < 26; i++) {
if (node->child[i] != nullptr) {
if (subsearch(word, idx + 1, node->child[i]) == true) {
return true;
}
}
}
} else {
int a = ch - 'a';
if (node->child[a] != nullptr) {
if (subsearch(word, idx + 1, node->child[a]) == true) {
return true;
}
}
}
return false;
}

bool search(string word) {
return subsearch(word, 0, this);
}
};

/**
* Your WordDictionary object will be instantiated and called as such:
* WordDictionary* obj = new WordDictionary();
* obj->addWord(word);
* bool param_2 = obj->search(word);
*/

648. 单词替换

在英语中,我们有一个叫做 词根(root) 的概念,可以词根后面添加其他一些词组成另一个较长的单词——我们称这个词为 继承词(successor)。例如,词根 an,跟随着单词 other(其他),可以形成新的单词 another (另一个)。

现在,给定一个由许多词根组成的词典 dictionary 和一个用空格分隔单词形成的句子 sentence。你需要将句子中的所有继承词用词根替换掉。如果继承词有许多可以形成它的词根,则用最短的词根替换它。你需要输出替换之后的句子。

就是前缀树的基础应用了,因为需要寻找最短的前缀,因此遇到结束符就立刻返回;如果查找不到这个单词,那么就返回空。

1
2
3
4
5
6
7
8
9
10
11
12
13
14
15
16
17
18
19
20
21
22
23
24
25
26
27
28
29
30
31
32
33
34
35
36
37
38
39
40
41
42
43
44
45
46
47
48
49
50
51
52
53
54
55
56
57
58
class Tree {
public:
vector<Tree*> child;
bool end = false;
Tree() {
child.resize(26);
}
void insert (string& word) {
Tree* node = this;
for (auto ch : word) {
int a = ch - 'a';
if (node->child[a] == nullptr) {
node->child[a] = new Tree();
}
node = node->child[a];
}
node->end = true;
}
string search(string& word) {
Tree* node = this;
string res = "";
for (auto ch : word) {
int a = ch - 'a';
if (node->child[a] == nullptr) {
return "";
} else {
res += ch;
node = node->child[a];
if (node->end == true) {
return res;
}
}
}
return "";
}
};

class Solution {
public:
string replaceWords(vector<string>& dictionary, string sentence) {
Tree node;
for (auto it : dictionary) {
node.insert(it);
}
string res, tmp;
stringstream ss{sentence};
while (ss >> tmp) {
res += " ";
auto a = node.search(tmp);
if (a != "") {
res += a;
} else {
res += tmp;
}
}
return res.substr(1);
}
};

677. 键值映射

设计一个 map ,满足以下几点:

  • 字符串表示键,整数表示值
  • 返回具有前缀等于给定字符串的键的值的总和
  • 实现一个 MapSum 类:

  • MapSum() 初始化 MapSum 对象

  • void insert(String key, int val) 插入 key-val 键值对,字符串表示键 key ,整数表示值 val 。如果键 key 已经存在,那么原来的键值对 key-value 将被替代成新的键值对。
  • int sum(string prefix) 返回所有以该前缀 prefix 开头的键 key 的值的总和。

这个题也比较简单,假设 apple 对应的值为 5,而后插入 app 值为 3,那么 ap 前缀对应的和就是 8,也就是在 5 的基础上加了 3。如果再次插入 apple 此时值为 4,那么 ap 前缀对应的和就是 7,且 apple 对应的值是 4。

如此我们可以看到,只有插入存在过的单词时,才会修改数值。由于插入不存在的单词,数值的更新方式是 +=,参考上述例子。为了统一这一点,我们需要设置一个 map,并记录本次插入的值。

如果这个字符串是第二次插入,那么就需要对值进行修改,比如 apple 第一次是 5,map 存入 5;第二次是 3,那么 += 的值就应该是 -2,map 存入 3。如果第三次是 6,那么加等于的值就是 3,map 存入 6。也就是,+= 的数值就是本次插入的值减去 map 中存入的值。

1
2
3
4
5
6
7
8
9
10
11
12
13
14
15
16
17
18
19
20
21
22
23
24
25
26
27
28
29
30
31
32
33
34
35
36
37
38
39
40
41
42
43
44
45
class MapSum {
public:
vector<MapSum*> child;
int cnt = 0;
unordered_map<string, int> m;
MapSum() {
child.resize(26);
}

void insert(string key, int val) {
MapSum* node = this;
int v = val;
if (m.count(key)) {
v = val - m[key];
}
m[key] = val;
for (auto ch : key) {
int a = ch - 'a';
if (node->child[a] == nullptr) {
node->child[a] = new MapSum();
}
node = node->child[a];
node->cnt += v;
}
}

int sum(string prefix) {
MapSum* node = this;
for (auto ch : prefix) {
int a = ch - 'a';
if (node->child[a] == nullptr) {
return 0;
}
node = node->child[a];
}
return node->cnt;
}
};

/**
* Your MapSum object will be instantiated and called as such:
* MapSum* obj = new MapSum();
* obj->insert(key,val);
* int param_2 = obj->sum(prefix);
*/

参考

本文构最初思于 2019 年 6 月通过刷题学习数据结构时期,第一次整理发表于 2020 年 2 月。本文全部参考了柳神的程序,而非我本人的原创。但是我都花精力研究了程序、重写程序、最后做了归纳整理。

时间流转,2022 年由于找工作的需要,又开始整理一些 leetcode 题目,PAT 题目过于简单也从本文中删去退出了历史舞台,但我依然敬佩柳神,也从她的程序中受益颇多。

如果你初学数据结构或刷题,我强烈建议做一下 PAT 的基础题目掌握数据结构,也建议观摩柳神的程序。

感谢上学期间打赏我的朋友们。赛博乞讨:我,秦始皇,打钱。

欢迎订阅我的文章