0%

算法系列:回溯

回溯算法是一种暴力枚举的算法。但是,枚举是一个技术活,枚举过程如何保证不重复、剪纸、不遗漏和优先处理可能的结果,这并不简单。

回溯应该是算法系列中除动态规划外最难的一个,需要很好的明确回溯入口,退出条件,两者保证回溯的不遗漏。而下一步如何回溯,以及如何退出当前状态要保证回溯的不重复。也许有些抽象,我们来看具体例子。

什么是回溯

如果简单的说回溯,那么如下函数就可以解释清楚:

1
2
3
4
5
6
7
8
9
10
11
12
13
14
15
16
for (auto i : arr) {
backtrack(i);
}
void backtrack(int i) {
if (i > n)
退出条件
// 回溯入口
for (auto j : arr[i]) {
vector.push_back(j);
// 下一步而回溯
backtrack(j);
// 退出当前的状态,往回走
// 因此叫做回溯
vector.pop_back()
}
}

图路径

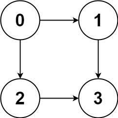
797. 所有可能的路径

给你一个有 n 个节点的 有向无环图 DAG,请你找出所有从节点 0 到节点 n-1 的路径并输出,不要求按特定顺序。graph[i] 是一个从节点 i 可以访问的所有节点的列表(即从节点 i 到节点 graph[i][j]存在一条有向边)。

1
2
3
输入:graph = [[1,2],[3],[3],[]]
输出:[[0,1,3],[0,2,3]]
解释:有两条路径 0 -> 1 -> 3 和 0 -> 2 -> 3

如果说从 0 开始,而 0 又指向 1 和 2,那么只能按照这样的顺序找下去,因为题目并没有说要求最短路径。如果遍历的是 0,1,3,那么在找完这条路径后,需要回退,找到 0,1,2 这条路径。也就是,这算是一道回溯类题目。

1
2
3
4
5
6
7
8
9
10
11
12
13
14
15
16
17
18
19
20
21
22
23
24
25
26
27
28
class Solution {
public:
vector<vector<int>> res;
vector<int> tmp;
vector<vector<int>> allPathsSourceTarget(vector<vector<int>>& graph) {
tmp.push_back(0);
int n = graph.size();
// 回溯入口
dfs(0, n, graph);
return res;
}

void dfs(int idx, int n, vector<vector<int>>& graph) {
// 退出条件
if (idx >= n - 1) {
res.push_back(tmp);
return;
} else {
// 回溯入口
for (auto i : graph[idx]) {
tmp.push_back(i);
dfs(i, n, graph);
// 回溯
tmp.pop_back();
}
}
}
};

排列问题

46. 全排列

给定一个不含重复数字的数组 nums,返回其所有可能的全排列 。你可以按任意顺序返回答案。示例:

1
2
输入:nums = [1,2,3]
输出:[[1,2,3],[1,3,2],[2,1,3],[2,3,1],[3,1,2],[3,2,1]]

和上一题大体相同,我们来分析一下不同点在哪里。

  • 全排列问题,由于会出现 [3,2,1] 这样的情况,因此回溯的入口每次都是 0,而不能是上次回溯的终点,因为 3 后面没有任何东西
  • 其次,由于每次入口都是 0,而且每个元素只能出现一次,因此我们需要使用一个 map,根据索引记录该元素是否使用,只有没有使用时才能回溯
  • 回溯的退出条件为子序列长度等于 nums 的长度
1
2
3
4
5
6
7
8
9
10
11
12
13
14
15
16
17
18
19
20
21
22
23
24
25
26
27
class Solution {
public:
vector<vector<int>> res;
vector<int> tmp;
unordered_map<int, int> m;
vector<vector<int>> permute(vector<int>& nums) {
backtrack(0, nums);
return res;
}

void backtrack(int idx, vector<int>& nums) {
if (tmp.size() == nums.size()) {
res.push_back(tmp);
return;
} else {
for (int i = 0; i < nums.size(); i++) {
if (m[i] == 0) {
tmp.push_back(nums[i]);
m[i] = 1;
backtrack(i, nums);
m[i] = 0;
tmp.pop_back();
}
}
}
}
};

47. 全排列 II

给定一个可包含重复数字的序列 nums ,按任意顺序返回所有不重复的全排列。示例:

1
2
3
4
5
输入:nums = [1,1,2]
输出:
[[1,1,2],
[1,2,1],
[2,1,1]]

根据前面提到的求解回溯问题的框架,我们可以注意到这个题有两个细节:

  • 由于 2 可以出现在 1 的前面,因此每次回溯的起点都是 0。而为了避免添加重复元素,我们需要使用一个 map,记录哪些元素被添加过,从过跳过已经被添加的元素
  • 由于会有重复元素,根据我对回溯问题的了解,我建议先对 nums 进行排序,而后先将结果添加到集合内,最后将结果放入 vector
1
2
3
4
5
6
7
8
9
10
11
12
13
14
15
16
17
18
19
20
21
22
23
24
25
26
27
28
29
30
31
32
class Solution {
public:
unordered_map<int, int> m;
vector<int> tmp;
set<vector<int>> res;
vector<vector<int>> permuteUnique(vector<int>& nums) {
backtrack(0, nums);
vector<vector<int>> r;
for (auto i : res)
r.push_back(i);
return r;
}

void backtrack(int idx, vector<int>& nums) {
if (tmp.size() == nums.size()) {
res.insert(tmp);
return ;
} else {
// 回溯入口始终为 0
for (int i = 0; i < nums.size(); i++) {
// 如果没有被添加
if (m[i] == 0) {
tmp.push_back(nums[i]);
m[i] = 1;
backtrack(0, nums);
m[i] = 0;
tmp.pop_back();
}
}
}
}
};

组合问题

39. 组合总和

给你一个无重复元素的整数数组 candidates 和一个目标整数 target ,找出 candidates 中可以使数字和为目标数 target 的所有不同组合 ,并以列表形式返回。你可以按任意顺序返回这些组合。

candidates 中的同一个数字可以无限制重复被选取 。如果至少一个数字的被选数量不同,则两种组合是不同的。对于给定的输入,保证和为 target 的不同组合数少于 150 个。

1
2
3
4
5
6
输入:candidates = [2,3,6,7], target = 7
输出:[[2,2,3],[7]]
解释:
2 和 3 可以形成一组候选,2 + 2 + 3 = 7 。注意 2 可以使用多次。
7 也是一个候选, 7 = 7 。
仅有这两种组合。

需要注意的是,如果回溯的入口是 0,那么可以得到 2+2+3=7 的结果,在后续的回溯中,如果入口是 1,而 3 在之前以及的结果中已经使用过了。因此和上一题不一样的是,下一次回溯的入口是上一次回溯的出口,由于一个数值允许多次使用,因此入口和出口的值是可以相等的。

1
2
3
4
5
6
7
8
9
10
11
12
13
14
15
16
17
18
19
20
21
22
23
24
25
26
27
28
29
30
31
32
33
34
class Solution {
public:
vector<vector<int>> res;
vector<int> tmp;
map<vector<int>, int> m;
vector<vector<int>> combinationSum(vector<int>& candidates, int target) {
backtrack(0, candidates, target);
return res;
}

int _sum(vector<int>& tmp) {
int s = 0;
for (auto i : tmp)
s += i;
return s;
}

void backtrack(int idx, vector<int>& candidates, int target) {
if (_sum(tmp) == target) {
res.push_back(tmp);
return ;
} else {
// idx 是回溯的入口
for (int i = idx; i < candidates.size(); i++) {
if ((candidates[i] <= target) && (_sum(tmp) + candidates[i] <= target)) {
tmp.push_back(candidates[i]);
// i 是回溯的出口,也就是下一次回溯的入口
backtrack(i, candidates, target);
tmp.pop_back();
}
}
}
}
};

40. 组合总和 II

给定一个候选人编号的集合 candidates 和一个目标数 target ,找出 candidates 中所有可以使数字和为 target 的组合。candidates 中的每个数字在每个组合中只能使用一次。注意:解集不能包含重复的组合。示例 :

1
2
3
4
5
6
7
8
输入: candidates = [10,1,2,7,6,1,5], target = 8,
输出:
[
[1,1,6],
[1,2,5],
[1,7],
[2,6]
]
  • 既然每个数字只能使用一次,根据上一题我们能知道:下一次回溯的入口和上一次回溯的出口不能相同
  • 此外,这个题的重点是:可能存在相同数字,因此,我们需要在回溯的过程中进行剪枝。剪枝发生在:同一层数值相同的结点第 2、3 … 个结点,因为数值相同的第 1 个结点已经搜索出了包含了这个数值的全部结果,同一层的其它结点,候选数的个数更少,搜索出的结果一定不会比第 1 个结点更多,并且是第 1 个结点的子集。
1
2
3
4
5
6
7
8
9
10
11
12
13
14
15
16
17
18
19
20
21
22
23
24
25
26
27
28
29
30
31
32
33
34
35
36
37
class Solution {
public:

set<vector<int>> res;
vector<int> tmp;
vector<vector<int>> combinationSum2(vector<int>& candidates, int target) {
int tmp_sum = 0;
sort(candidates.begin(), candidates.end());
backtrack(0, tmp_sum, candidates, target);
vector<vector<int>> r1;
for(auto i : res) {
r1.push_back(i);
}
return r1;
}

void backtrack(int idx, int& tmp_sum, vector<int>& candidates, int target) {
if (tmp_sum == target) {
res.insert(tmp);
return;
} else {
for (int i = idx; i < candidates.size(); i++) {
// 剪枝,i > idx 保证第一个结果计算完了
// candidates[i] == candidates[i-1] 去除相同的子情况
if (i > idx && candidates[i] == candidates[i-1])
continue;
if (tmp_sum + candidates[i] <= target) {
tmp.push_back(candidates[i]);
tmp_sum += candidates[i];
backtrack(i + 1, tmp_sum, candidates, target);
tmp_sum -= candidates[i];
tmp.pop_back();
}
}
}
}
};

77. 组合

给定两个整数 nk,返回范围 [1, n] 中所有可能的 k 个数的组合。你可以按任何顺序返回答案。示例:

1
2
3
4
5
6
7
8
9
10
输入:n = 4, k = 2
输出:
[
[2,4],
[3,4],
[2,3],
[1,2],
[1,3],
[1,4],
]
  • 由于出现 [1,2] 后就不会在出现 [2,1],因此每次回溯的入口是上次回溯的出口 +1
  • 回溯的退出条件是 tmp.size()==k
1
2
3
4
5
6
7
8
9
10
11
12
13
14
15
16
17
18
19
20
21
22
23
class Solution {
public:
vector<int> tmp;
vector<vector<int>> res;
vector<vector<int>> combine(int n, int k) {
backtrack(1, n, k);
return res;
}

void backtrack(int idx, int n, int k) {
if (tmp.size() == k) {
res.push_back(tmp);
return ;
} else {
for (int i = idx; i <= n; i++) {
tmp.push_back(i);
// 下一次回溯的入口,是本次回溯出口 +1
backtrack(i + 1, n, k);
tmp.pop_back();
}
}
}
};

216. 组合总和 III

找出所有相加之和为 nk 个数的组合,且满足下列条件:

  • 只使用数字 1 到 9
  • 每个数字最多使用一次
  • 返回所有可能的有效组合的列表。该列表不能包含相同的组合两次,组合可以以任何顺序返回。

示例:

1
2
3
4
5
输入: k = 3, n = 7
输出: [[1,2,4]]
解释:
1 + 2 + 4 = 7
没有其他符合的组合了。
  • 由于每个数字只能使用一次,因此每次回溯的入口是上次回溯的出口 +1
  • 回溯退出的条件有两个,一个是和满足,一个是数量满足
1
2
3
4
5
6
7
8
9
10
11
12
13
14
15
16
17
18
19
20
21
22
23
24
25
26
27
class Solution {
public:
vector<vector<int>> res;
vector<int> tmp;
vector<vector<int>> combinationSum3(int k, int n) {
int tmpSum = 0;
backtrack(1, k, n, tmpSum);
return res;
}

void backtrack(int idx, int k, int n, int& tmpSum) {
if (tmpSum == n && tmp.size() == k) {
res.push_back(tmp);
return;
} else {
for (int i = idx; i <= 9; i++) {
if (tmpSum + i <= n) {
tmp.push_back(i);
tmpSum += i;
backtrack(i + 1, k, n, tmpSum);
tmpSum -= i;
tmp.pop_back();
}
}
}
}
};

子集问题

78. 子集

给你一个整数数组 nums,数组中的元素互不相同。返回该数组所有可能的子集(幂集)。解集不能包含重复的子集。你可以按任意顺序返回解集。示例:

1
2
输入:nums = [1,2,3]
输出:[[],[1],[2],[1,2],[3],[1,3],[2,3],[1,2,3]]

我们发现回溯期间的任何结果都会被返回,即使是一个空集,因此:回溯不在设置退出条件,但此时需要保证回溯的入口条件正确。

1
2
3
4
5
6
7
8
9
10
11
12
13
14
15
16
17
18
class Solution {
public:
vector<vector<int>> res;
vector<int> tmp;
vector<vector<int>> subsets(vector<int>& nums) {
backtrack(0, nums);
return res;
}

void backtrack(int idx, vector<int>& nums) {
res.push_back(tmp);
for (int i = idx; i < nums.size(); i++) {
tmp.push_back(nums[i]);
backtrack(i + 1, nums);
tmp.pop_back();
}
}
};

90. 子集 II

给你一个整数数组 nums ,其中可能包含重复元素,请你返回该数组所有可能的子集(幂集)。解集不能包含重复的子集。返回的解集中,子集可以按任意顺序排列。示例:

1
2
输入:nums = [1,2,2]
输出:[[],[1],[1,2],[1,2,2],[2],[2,2]]

前文已经提到过,如果有重复元素,对于重复元素,先排序,在将结果存储到集合中,最后转化为 vector

1
2
3
4
5
6
7
8
9
10
11
12
13
14
15
16
17
18
19
20
21
22
23
class Solution {
public:
set<vector<int>> res;
vector<int> tmp;
vector<vector<int>> subsetsWithDup(vector<int>& nums) {
sort(nums.begin(), nums.end());
backtrack(0, nums);
vector<vector<int>> r;
for (auto i : res) {
r.push_back(i);
}
return r;
}

void backtrack(int idx, vector<int>& nums) {
res.insert(tmp);
for (int i = idx; i < nums.size(); i++) {
tmp.push_back(nums[i]);
backtrack(i + 1, nums);
tmp.pop_back();
}
}
};

回溯实战

22. 括号生成

数字 n 代表生成括号的对数,请你设计一个函数,用于能够生成所有可能的并且有效的括号组合。示例:

1
2
输入:n = 3
输出:["((()))","(()())","(())()","()(())","()()()"]

这个和之前的回溯还不太一样,之前的回溯是选择填入一个数字,或者说每次回溯只能选择一个数字,而一般是可以按照顺序选择数字的。但是这个题不同的是,当前的字符取决于前面的字符,如果前面的字符是 (,那么后面的字符可能是 ( 或者 ),如果前面的字符是 ),后面的字符可能是 (),具体是哪一个还需要判断前面的次数,这样程序的逻辑会很复杂。

也就是说,这种情况,不能用 for 循环遍历 () 来回溯。既然如此,只能在回溯中进行遍历。

  • 如果此时任何一个括号的使用次数大于 n,退出
  • 回溯期间,无论如何左括号的使用次数一定大于右括号,因此当右括号的使用次数大于左括号时,退出
  • 之后就是没有循环的回溯,回溯有两部分,分别是添加 ()
1
2
3
4
5
6
7
8
9
10
11
12
13
14
15
16
17
18
19
20
21
22
23
24
25
26
27
28
29
class Solution {
public:
string s{""};
vector<string> res;
vector<string> generateParenthesis(int n) {
backtrack(n, n);
return res;
}

void backtrack(int l, int r) {
if (l < 0 || r < 0)
return;
if (r < l)
return;
// 所有括号被添加
if (l == 0 && r == 0) {
res.push_back(s);
return;
}
// 追加左括号
s += "(";
backtrack(l - 1, r);
s.pop_back();
// 追加右括号
s += ")";
backtrack(l, r - 1);
s.pop_back();
}
};

回溯游戏

37. 解数独

编写一个程序,通过填充空格来解决数独问题。数独的解法需遵循如下规则:

  • 数字 1-9 在每一行只能出现一次。
  • 数字 1-9 在每一列只能出现一次。
  • 数字 1-9 在每一个以粗实线分隔的 3x3 宫内只能出现一次。(请参考示例图)
  • 数独部分空格内已填入了数字,空白格用 ‘.’ 表示。

  • 对于这个回溯问题,我们发现遍历时有三种状态:行、列和数字,也就是说,不同于之前的数组遍历,选择一个数字就行。这个题在遍历期间,需要处理三种状态。
  • 一般情况是,回溯本身就能处理一些状态的遍历,此时需要保证本次回溯的入口是上次回溯的出口 +1。
  • 对于本题目,回溯本身处理行和列的遍历,每次回溯时列自增,当列等于 9 时行自增。而在回溯中,使用训练遍历数字,由于上一个回溯选择数字和本次回溯选择的数字有先后关系,因此数字的循环始终为 1,...,9
1
2
3
4
5
6
7
8
9
10
11
12
13
14
15
16
17
18
19
20
21
22
23
24
25
26
27
28
29
30
31
32
33
34
35
36
37
38
39
40
class Solution {
public:
void solveSudoku(vector<vector<char>>& board) {
dfs(0, 0, board);
}

bool isvalid(char c, int row, int col, vector<vector<char>>& board) {
for (int i = 0; i < 9; i++) {
if (board[i][col] == c) return false;
if (board[row][i] == c) return false;
if (board[(row/3)*3 + i/3][(col/3)*3 + i%3] == c)
return false;
}
return true;
}

bool dfs(int row, int col, vector<vector<char>>& board) {
if (row < 0 || col < 0 || row > 9 || col > 9) {
return false;
}
if (col == 9) {
return dfs(row + 1, 0, board);
}
if (row == 9) {
return true;
}
if (board[row][col] != '.') {
return dfs(row, col + 1, board);
}
for (char c = '1'; c <= '9'; c++) {
if (isvalid(c, row, col, board)) {
board[row][col] = c;
if (dfs(row, col + 1, board))
return true;
board[row][col] = '.';
}
}
return false;
}
};

51. N 皇后

按照国际象棋的规则,皇后可以攻击与之处在同一行或同一列或同一斜线上的棋子。n 皇后问题 研究的是如何将 n 个皇后放置在 n×n 的棋盘上,并且使皇后彼此之间不能相互攻击。

给你一个整数 n ,返回所有不同的 n 皇后问题的解决方案。每一种解法包含一个不同的 n 皇后问题 的棋子放置方案,该方案中 Q. 分别代表了皇后和空位。

和数独不一样的是,这个题的遍历状态只有行和列,因为棋子的状态只有 Q,回溯前放 Q,回溯后回退为 . 即可。

既然如此,按照常规的想法,就用循环遍历列,当这一列满足要求时,就进入下一行,开始填充下一行的棋子,想到这里,回溯的程序也就可以写出来了。

也就是说对于回溯问题,至少要让回溯中的循环控制一个状态的遍历,而回溯本身则控制其他状态的遍历。

1
2
3
4
5
6
7
8
9
10
11
12
13
14
15
16
17
18
19
20
21
22
23
24
25
26
27
28
29
30
31
32
33
34
35
36
37
38
39
40
41
42
43
44
45
46
47
48
49
50
51
52
class Solution {
public:
vector<vector<string>> res;
vector<string> tmp;
vector<vector<string>> solveNQueens(int n) {
tmp.resize(n);
for (int i = 0; i < n; i++) {
string s = "";
for (int i = 0; i < n; i++)
s += '.';
tmp[i] = s;
}
backtrack(0, tmp);
return res;
}

bool valid(int row, int col, vector<string>& tmp) {
for (int i = 0; i < tmp.size(); i++) {
if (tmp[row][i] == 'Q')
return false;
}
for (int i = 0; i < tmp.size(); i++) {
if (tmp[i][col] == 'Q')
return false;
}
for (int i = row - 1, j = col - 1; ((i >= 0) && (j >= 0)); i--, j--) {
if (tmp[i][j] == 'Q')
return false;
}
for (int i = row - 1, j = col + 1; ((i >= 0) && (j < tmp.size())); i--, j++) {
if (tmp[i][j] == 'Q')
return false;
}
return true;
}

void backtrack(int row, vector<string>& tmp) {
if (row < 0)
return;
if (row == tmp.size()) {
res.push_back(tmp);
return;
}
for (int i = 0; i < tmp.size(); i++) {
if (valid(row, i, tmp)) {
tmp[row][i] = 'Q';
backtrack(row + 1, tmp);
tmp[row][i] = '.';
}
}
}
};
感谢上学期间打赏我的朋友们。赛博乞讨:我,秦始皇,打钱。

欢迎订阅我的文章