0%

算法系列:链表反转问题

本文集中写链表的反转问题,因为其他的链表相交、链表数量等问题比较简单,即使没啥算法经验也能写个差不多,而链表反转也算一种经典的递归问题。这个文章的文字描述太乱了,有时间回来补图。

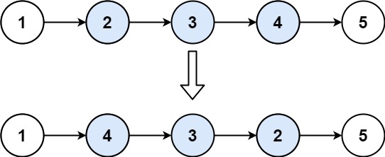
206. 反转链表

给你单链表的头节点 head ,请你反转链表,并返回反转后的链表。反转链表有两种实现方式,一种是迭代式实现,一种是通过递归实现。先来看通过迭代实现:迭代的反转需要使用三个指针,precurnxt,核心思想就是 cur 不断的向后移动过程中,让 cur 指向 pre。而这一过程分为四步:

  1. nxt = nxt->next,先让 nxt 向后移动,因为 cur 指向 pre 之后,需要通过 nxt 找到下一个节点
  2. cur->next = pre,实现指针的反转,让 cur 指向上一个指针
  3. pre = cur,为下一次反转做准备,pre 就是在反转中要被指向的节点
  4. cur = nxtcur 指向下一个节点,为下一次反转做准备

通过以上四点,我们可以在推出一些细节:

  1. pre 的初始值应该是 null,因为任何一个链表的末尾节点应该是空节点,而第一次反转时 cur 指向了 pre,因此 pre 也就是链表的末尾,因此 pre 初始为空
  2. cur 的初始值就是 head 节点,nxt 的初始值也是 head 节点,因为这样才能让 nxt = nxt->nextcur->next = pre 有意义
  3. 如果 nxt 指向 null,说明此时链表反转完毕,而 cur 指向的就是 nxt,因此最后要返回 pre 指针
1
2
3
4
5
6
7
8
9
10
11
12
13
14
15
16
17
18
19
20
21
22
23
class ListNode {
public:
int val;
ListNode* next = nullptr;
ListNode() = default;
ListNode(int x) : val{x} {};
};

class Solution {
public:
ListNode* reverseList(ListNode* head) {
ListNode* pre = nullptr;
ListNode* cur = head;
ListNode* nxt = head;
while (nxt != nullptr) {
nxt = nxt->next;
cur->next = pre;
pre = cur;
cur = nxt;
}
return pre;
}
};

至于递归方法就简单了很多:

  1. 如果这个节点是原链表的尾部节点,那么直接将其返回,而且每一层递归函数的返回值都是它。而尾部节点的判断方式就是 head->next == null。因此先写出部分程序:如下的程序中,任何一个递归函数返回的都是链表的尾部节点。
1
2
3
4
5
6
7
8
9
10
class Solution {
public:
ListNode* reverseList(ListNode* head) {
if (head == nullptr || head->next == nullptr) {
return head;
}
ListNode* last = reverseList(head->next);
return last;
}
};
  1. 在找到尾部节点后,将其余节点依次反转即可。而且一定是在找到尾部节点后反转,如果在找到尾部节点之前就反转,链表就无法向下递归。
1
2
3
4
5
6
7
8
9
10
11
12
13
class Solution {
public:
ListNode* reverseList(ListNode* head) {
// 模板
if (head == nullptr || head->next == nullptr) {
return head;
}
ListNode* last = reverseList(head->next);
head->next->next = head; // 后面的节点指向自己
head->next = nullptr; // 自己的下一个节点是 nullptr
return last;
}
};

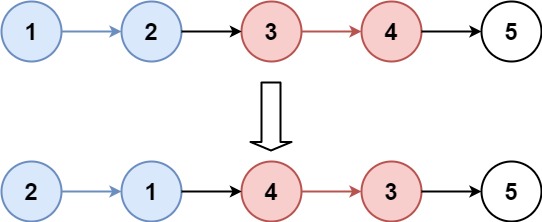
92. 反转链表 II

给你单链表的头指针 head 和两个整数 leftright ,其中 left <= right 。请你反转从位置 left 到位置 right 的链表节点,返回反转后的链表 。

我决定以后用递归了,如果用迭代去写,涉及的变量和程序都比较繁琐。基于上面的递归反转:和反转全部链表不同,部分反转链表,需要在反转后,将链表的尾部指向原链表不反转部分的下一个元素。之前指向的是 nullptr,那么这里就需要指向原链表不反转部分的第一个元素。并返回反转链表后的第一个节点。

1
2
3
4
5
6
7
8
9
10
11
12
13
14
15
16
17
18
19
20
21
22
23
24
25
26
27
28
class Solution {
public:
ListNode* p = nullptr;
ListNode* reverse(ListNode* node, int right) {
// right=1 的时候,下一个元素就是不需要反转的链表的第一个元素
if (right == 1) {
p = node->next;
return node;
}
ListNode* last = reverse(node->next, right - 1);
node->next->next = node;
// 之前指向 nullptr,现在指向 p
node->next = p;
return last;
}

// 返回的是链表的头部
ListNode* reverseBetween(ListNode* head, int left, int right) {
// 反转前 k 个链表
if (left == 1) {
return reverse(head, right);
}
// 递归,head->next 移动一次,left 和 right 都递减
// head->next 指向链表的第一个元素,无论反转或不反转,也是递归的精髓
head->next = reverseBetween(head->next, left-1, right-1);
return head;
}
};

25. K 个一组翻转链表

给你链表的头节点 head ,每 k 个节点一组进行翻转,请你返回修改后的链表。k 是一个正整数,它的值小于或等于链表的长度。如果节点总数不是 k 的整数倍,那么请将最后剩余的节点保持原有顺序。你不能只是单纯的改变节点内部的值,而是需要实际进行节点交换。

和上一题一样,反转后的链表末尾元素需要指向不需要反转的链表的第一个元素。第一题,反转链表的末尾元素指向 nullptr,所以需要和 nullptr 判断关系,这里同理,只是不是 nullptr 了。

1
2
3
4
5
6
7
8
9
10
11
12
13
14
15
16
17
18
19
20
21
22
23
24
25
26
27
28
29
30
31
32
33
34
35
36
37
38
39
40
41
42
43
/**
* Definition for singly-linked list.
* struct ListNode {
* int val;
* ListNode *next;
* ListNode() : val(0), next(nullptr) {}
* ListNode(int x) : val(x), next(nullptr) {}
* ListNode(int x, ListNode *next) : val(x), next(next) {}
* };
*/
class Solution {
public:

ListNode* reverse(ListNode* p1, ListNode* p2) {
// 指向谁,就和谁判断,第一题的 nullptr 也是如此
if (p1 == p2 || p1->next == p2) {
return p1;
}
ListNode* last = reverse(p1->next, p2);
p1->next->next = p1;
p1->next = p2;
return last;
}

// 返回的是反转链表的头
ListNode* reverseKGroup(ListNode* head, int k) {
if (head == nullptr)
return nullptr;
ListNode* p1 = head;
ListNode* p2 = head;
// 如果不够反转,就不用反转
for (int i = 0; i < k; i++) {
if (p2 == nullptr)
return head;
p2 = p2->next;
}
// 第一次链表反转,的第一个元素一定是最后链表的头,因此要返回
ListNode* last = reverse(p1, p2);
// 头指针变成局部链表的尾指针,串起整个链表
head->next = reverseKGroup(p2, k);
return last;
}
};
感谢上学期间打赏我的朋友们。赛博乞讨:我,秦始皇,打钱。

欢迎订阅我的文章