这几天接连遇到了一些双指针的问题,但是说实话,并没有从这些题中看到一种通用的东西,也就不是能很好的做一个总结,但不得不说双指针是一个很神奇的东西,所以做一道记一道吧。
快慢指针
快慢指针也是双指针,但是两个指针从同一侧开始遍历数组,将这两个指针分别定义为快指针(fast)和慢指针(slow),两个指针以不同的策略移动,直到两个指针的值相等(或其他特殊条件)为止,如fast每次增长两个,slow每次增长一个。
常用于链表问题,如:slow开始移动,由于移动速度是 fast 的一半,那么 fast 移动到链表的末尾时,slow 就位于链表的中央,可以用这这种方法求链表的中点。
26. 删除有序数组中的重复项
给你一个升序排列的数组 nums,请你原地删除重复出现的元素,使每个元素只出现一次 ,返回删除后数组的新长度。元素的相对顺序应该保持 一致 。
由于在某些语言中不能改变数组的长度,所以必须将结果放在数组 nums 的第一部分。更规范地说,如果在删除重复项之后有 k 个元素,那么 nums 的前 k 个元素应该保存最终结果。将最终结果保存到 nums 的前 k 个位置后返回 k 。
不要使用额外的空间,你必须在原地修改输入数组 并在使用 $O(1)$ 额外空间的条件下完成。
这个题乍一看还真不会,于是果断看了题解:
- fast 和 slow 初始为 1,因为就算数组内全是重复元素,那么 1 也可以表示其中不重复的数量
- 如果 fast 和 fast-1 对应的元素相等,表示有重复元素,此时 fast++,继续搜索后面的元素
- 如果 fast 和 fast-1 不相等,表示没有重复元素,且,不重复的元素是
nums[fast],此时我们让nums[slow]=nums[fast],slow 和 fast 同时向后移动即可
1 | class Solution { |
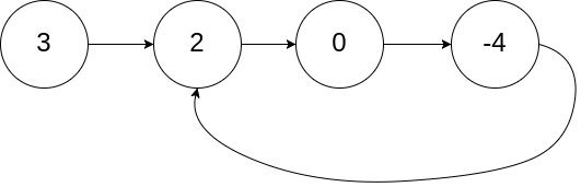
剑指 Offer II 022. 链表中环的入口节点
给定一个链表,返回链表开始入环的第一个节点。 从链表的头节点开始沿着 next 指针进入环的第一个节点为环的入口节点。如果链表无环,则返回 null。
为了表示给定链表中的环,我们使用整数 pos 来表示链表尾连接到链表中的位置(索引从 0 开始)。 如果 pos 是 -1,则在该链表中没有环。注意,pos 仅仅是用于标识环的情况,并不会作为参数传递到函数中。

1 | 输入:head = [3,2,0,-4], pos = 1 |
首先明确一点,使用哈希存储地址肯定可以做出来,但这里是为了熟悉双指针。

- 假设 fast 指针和 slow 指针在紫色节点处相交
- 对于 fast 指针,走过的距离为 $a+n(b+c) + b$,$n$ 为任意整数
- 对于 slow 指针,走过的距离为 $a+m(b+c) + b$,$m$ 为任意整数
由于 fast 移动的距离是 slow 的二倍,因此:
\brgin{equation}
a+n(b+c)+b = 2 [a+m(b+c) + b] \\
\Rightarrow a = (n-2m)(b+c) - b
\end{equation}
也就是说,$a$ 的长度等于整数倍的环的长度减去 $b$ 的长度。得到这个等式后,我们让一个指针从 head 出发,slow 指针从相交处出发,两者相交时,就是环的入口节点。
1 | class Solution { |
对撞指针
对撞数组适用于有序数组、利用数组两侧求最值、只用数组内的两个元素等问题,应该第一时间想到用对撞指针解题。
11. 盛最多水的容器
给定一个长度为 n 的整数数组 height 。有 n 条垂线,第 i 条线的两个端点是 (i, 0) 和 (i, height[i]) 。找出其中的两条线,使得它们与 x 轴共同构成的容器可以容纳最多的水。返回容器可以储存的最大水量。

- 双指针,左指针位于左侧,右指针位于右侧,求一次能存储的最大水量
- 如果左边低,为了能求存储的最大水量,就需要将左指针向右移动,同理,如果右边低,就需要将右指针向左移动
- 每次移动的时候求极值就可以了
1 | class Solution { |
881. 救生艇
给定数组 people 。people[i] 表示第 i 个人的体重,船的数量不限,每艘船可以承载的最大重量为 limit。每艘船最多可同时载两人,但条件是这些人的重量之和最多为 limit。返回承载所有人所需的最小船数。示例:
1 | 输入:people = [3,2,2,1], limit = 3 |
我们假设一种极端情况,数组排序后是 [1, 2, ..., n-2, n-1],而船能容纳的极限是 n。那么,最佳分配就是让 1 和 n-1 在一起,2 和 n-2 在一起。此时只用两条船。虽然 1 可以和 2 在一起,那么要承载 n-2 和 n-1,就需要 3 条船。
基于贪心的思想,我们应该尽可能的把轻的和重的分配到一起,来减少船的使用数量,首先对数组排序:
- 设立双指针,
l=0, r=n-1 - 因为船只能坐两个人,因此,如果
nums[l] + nums[n-1] <= limit,就让这两个人坐一起,此时l++ - 而无论如何,都需要
r--,因为数组末尾的必须上一个人,而数组左侧的人选择性上或不上
1 | class Solution { |
红白球
给定一个长度为 $n$ 的字符串,其中,W 表示白色的球,R 表示红色的球,如果把红色的球放到一起,请问最少移动多少次?示例:
1 | 输入:s = "WRRWRW" |
一个很经典的双指针题目,注:2022年微软秋招笔试题原题。这个题解有点长,日后完善。
1 | class solution{ |